Quantum without complication
(Originally posted on LessWrong, where it's prettier.)
Learning quantum mechanics involves two things:
- learning the fundamentals, the nature of the stuff of which Nature is made; and
- loads of universe-imposed incidental complexity, spinors and vector calculus and Lie algebras and Hilbert spaces, in order to be able to effectively apply the fundamentals to the real world.
Now, me, personally, I really like the feeling of understanding how stuff fundamentally works, even if I'm missing the accumulated genius-lifetimes' worth of tricks-I-could-theoretically-work-out-from-first-principles that I'd need in order to make that fundamental understanding practically useful. I loved Introduction to abstract entropy and Generalized Heat Engine.
This post is an attempt to treat quantum mechanics in a similar way: exploring it with mathematical precision in an aggressively-stripped-down universe without all the complications ours has. It might feel like tooling around pointlessly in abstract-theory-land (I enjoy doing that sometimes), but our toy models will produce some behavior that sure looks a lot like some classic real-world quantum stuff.
(Target audience: handy with vectors. Ideally knows what an eigenvector is, if not which end to hold. Has a rough understanding of quantumy stuff, like, maybe took a physics class which spent a week or two on it.)
(Epistemic status: was a physics major in college, did quite well, but am rusty. Take my money if you think I've made a mistake!)
Basics: the classical universe
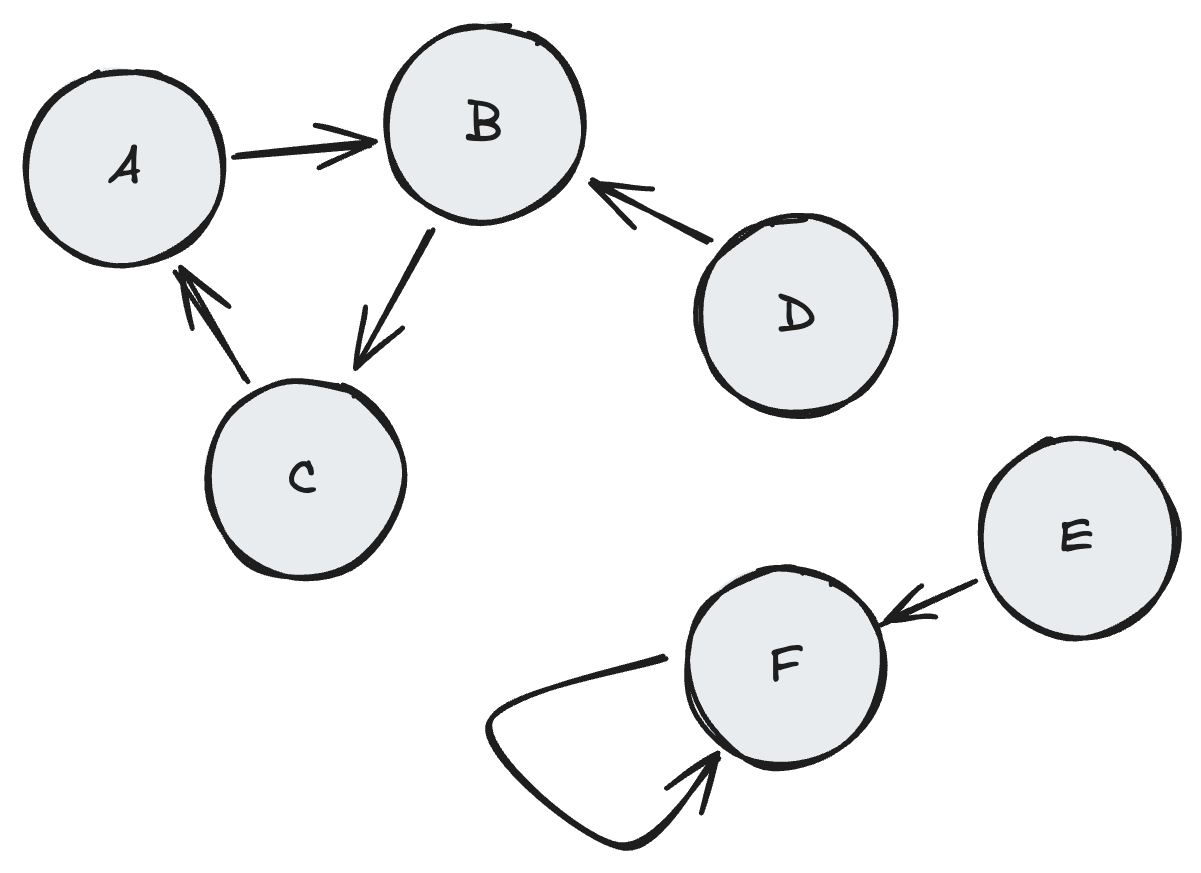
Here's a simple system, almost the simplest thing worthy of being called a "system":

It has 6 states it can be in: \(A\) through \(F\). The arrows depict the dynamics of the system: on each time-step, the system transitions to whatever state its current state's arrow points to.
Some example paths the system might take through time, depending on which state it starts in:
- \(A \to B \to C \to A \to B \to C \to A \to \cdots\)
- \(D \to B \to C \to A \to \cdots\)
- \(F \to F \to F \to \cdots\)
- \(E \to F \to F \to \cdots\)
Here are some more example systems, just to give a sense of what's possible:

(Left to right, top to bottom: a system with one state which it's stuck in; a system that flip-flops between its two possible states; doodling; doodling; a system with an infinite number of states, 'cause why not; and another one with infinite states, just with a more interesting structure.)
(Aside: tying this back to our universe: if we were to use a diagram like this to depict the physics of, say, a ball bouncing around in a box, each state would correspond to a concrete, fully-specified state the system could be in: the ball being in a particular position, with a particular velocity. (There would be an uncountably infinite number of states in the diagram, but let's handwave over that; it's not load-bearing.) The arrows would represent, like, "what will the state be in one second?".)
Generalization: linear combinations
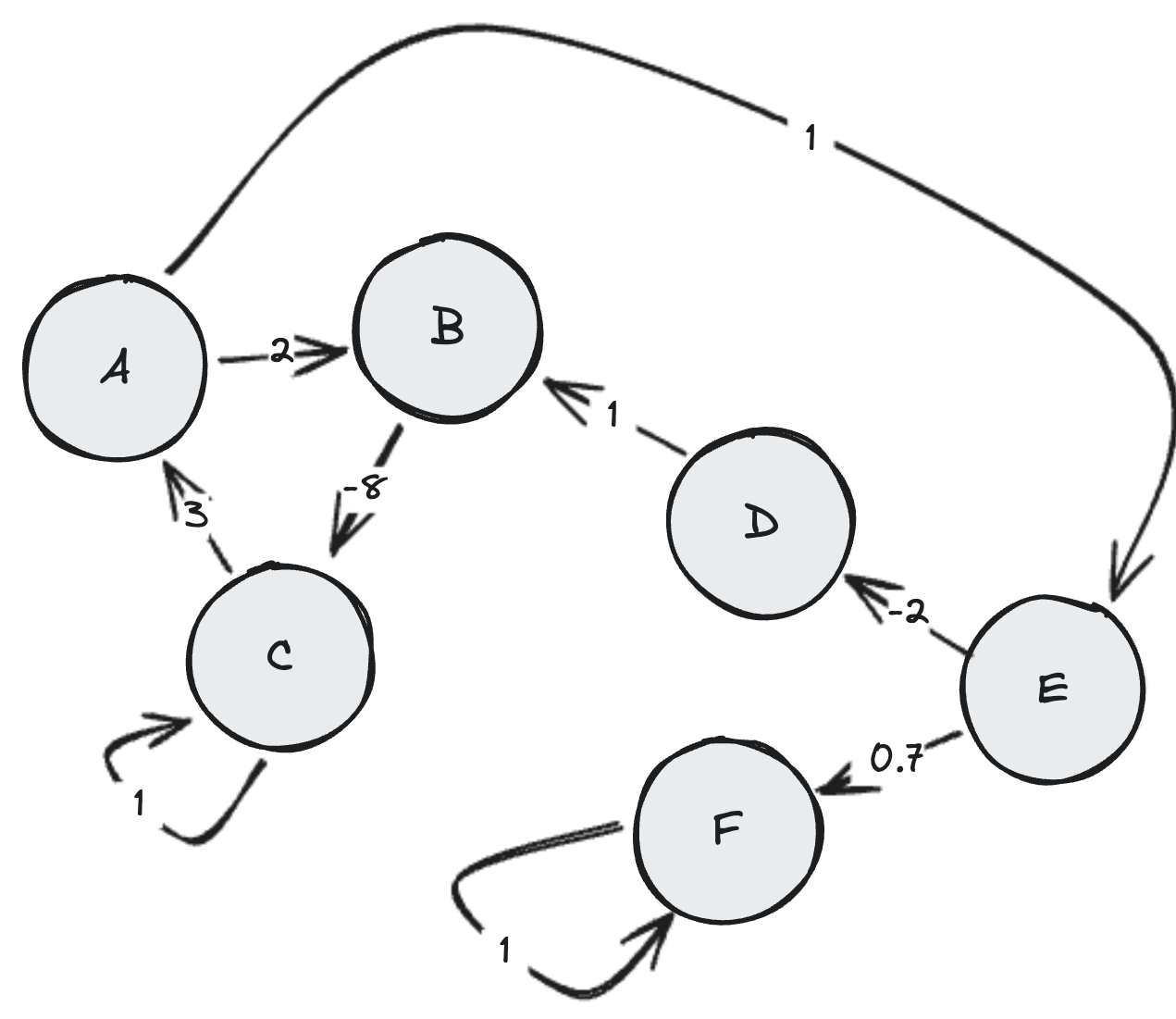
Let's look at a more complicated system. It has the same six states, \(A\) through \(F\)...

...but those aren't all of this system's states; it could also be in state \(A+D\), or \(2F-3C\); any linear combination of these six basis-states. (In linear-algebra terms, we might represent a state as a vector in \(\mathbb{R}^6\).)
The dynamics of this system are also somewhat more complicated: rather than being a simple function \({A..F} \to {A..F}\), it's now a linear function on states, which we might depict like so:

State A transitions to \(2B+E\); state \(B\) transitions to \(-8C\); etc.
(...or, in linear-algebra-speak, we might represent it as a matrix in \(\mathbb{R}^{6 \times 6}\).)
One example path this system might take:
$$\begin{array}{rcl} D \to& f(D) &= B \\ \to& f(B) &= -8C \\ \to& -8f(C) &= -8C - 24A \\ \to& -8f(C) - 24f(A) &= -8C-24A-48B-24E \\ \to& \cdots & \end{array}$$
(Aside: tying this back to our universe: earlier, I encouraged you to think of each of these basis states as "a concrete, fully-specified state the system could be in." I... still encourage that! As near as I can tell, even though our universe's state is some kind of gnarly linear combination of things... at least it's a linear combination of the things you're used to (more or less)? God threw us a softball: the universe's basis-states[1] really do match up pretty well with your classical intuition for "concrete ways the world can be." If you're modeling a ball in a box, your intuition says that a concrete state should be "the ball is here, with this velocity". The actual state is something like "0.7 the ball being here, minus 0.4 the ball being there, plus ..."; yes, it's a weird linear combination of things; yes, for arcane reasons we've stopped talking about velocity; but... at least the things being added up are nice, intuitive concepts like "the ball being here," not something totally alien.)
Un-generalization: unitarity
There are lots of interesting things to explore about linear operators! But if we're trying to intuition-build for quantum mechanics specifically, our system's dynamics can't be just any linear operator. They have to be... well...
Well... see, in our universe, if you have a quantum-mechanical system in a linear combination of its basis-states, then something turns out to be deeply important about the squares[2] of the coefficients of the basis-states. It's... like... what we perceive as "the probability of the universe being in this basis-state." Or something. This is definitely a weak spot in my understanding.
But that's fine! This "probability" thing is a quirk of our universe, and we're ignoring all our universe's quirks; so let's ignore "probability"! We'll just... roll with the universe's suggestion that we focus our attention on dynamics that conserve the sum of the squares of the basis-states' weights.
(In linear-algebra-speak, "conserves sum of squares" is basically[3] equivalent to "unitary.")
Exercise: in the last example diagram I doodled above, are the dynamics unitary? (Solution.) If so, how can you tell; else, is there a way to re-weight the edges to make them unitary? (Solution.)
Exercise: for which of these diagrams can you assign (non-zero) weights to the edges to make the dynamics unitary?

If you do those exercises, or if you're already familiar with unitary operators, you'll see:
Spoiler
Unitarity is a doozy of a constraint. Almost no operators are unitary.So! To intuition-build for quantum stuff, we're going to look at systems where:
- the state of the system is given by a vector; and
- the dynamics of the system are given by a unitary linear operator.
But that's awfully abstract. Let's look at some concrete examples!
A menagerie of unitary dynamics
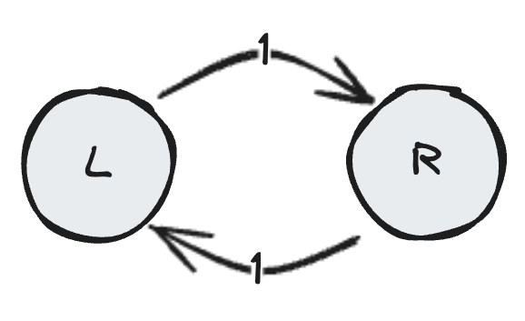
Oscillator

Two paths this system can take:
- \(L \to R \to L \to R \to L \to \cdots\)
- \(R \to L \to R \to \cdots\)
Or, heck, there's no rule saying we have to start in one of these two basis states. How about...
- \((L+2R) \to (R+2L) \to (L+2R) \to \cdots\)
(People doing quantum stuff in the real world will tend to normalize their state-vectors, like \(\frac{1}{\sqrt{5}}(L+2R)\); but I don't see any reason we need to do that here!)
Ooh, or, how about,
- \((L+R) \to (L+R) \to \cdots\)
We've found a state that doesn't change over time! An eigenstate of our system, with eigenvalue 1! (Exercise: find the other eigenstate. Solution.) There's nothing deeply meaningful about the eigenstates[4], but they're often handy tools for understanding long-term behavior.
Oscillator 2

Example paths this system could take:
- \(L \to R \to -L \to -R \to L \to \cdots\)
- \((L-R) \to (L+R) \to (L-R) \to \cdots\)
Partial oscillator
Here's a whole family of unitary systems, parameterized by \(\theta\):

- For \(\theta=0\), we have:
- \(L \to L \to L \to \cdots\)
- For \(\theta=\pi/2\), we have-- oh, neat, we've seen this before:
- \(L \to R \to -L \to -R \to L \to \cdots\)
- For \(\theta = \pi/4\), we have:
- \(L \to \left[\frac{1}{\sqrt{2}}(L+R)\right] \to R \to \left[\frac{1}{\sqrt{2}}(-L+R)\right] \to -L \to \cdots\)
- For arbitrary \(\theta\), we have
- \(L \to \left[\left(\cos \theta\right)L + \left(\sin \theta\right)R\right] \to \left[\left(\cos 2\theta\right)L + \left(\sin 2\theta\right)R\right] \to \cdots\)
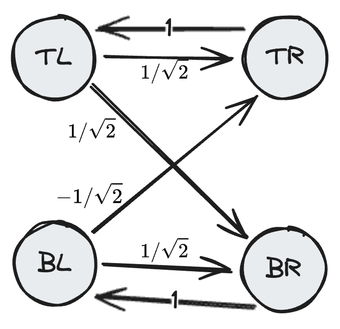
Washing machine
This one doesn't have any particularly beautiful mathematical behavior that I know of; the weights just slosh back and forth in a kind of interesting, chaotic way.

Example path the system could take:
$$\begin{array}{rrrr} & TL \quad\to& \frac{1}{\sqrt{2}}(BR+TR) \quad\to& \frac{1}{\sqrt{2}}(BL+TL) \quad\to& BR \\ \to & BL \quad\to& \frac{1}{\sqrt{2}}(BR-TR) \quad\to& \frac{1}{\sqrt{2}}(BL-TL) \quad\to& -TR \\ \to & -TL \quad\to& \cdots \hphantom{\frac{1}{\sqrt{2}}(BR-TR)} \quad \end{array}$$
???? (exercise)
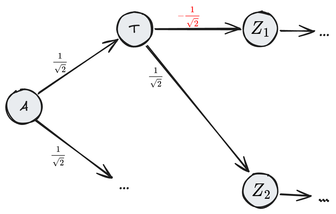
Exercise: in each of the following systems, if we start in state \(A\) at \(t=0\), what are the weights of \(Z_1\) and \(Z_2\) at \(t=2\)?
-
-
(The \(-\frac{1}{\sqrt{2}}\) is red just so you don't miss that it's different.) Solution.
-
Exercise: in system (3) above, again starting in state \(A\): what can you say about the coefficients of the basis-states downstream of \(Z_1\), for \(t>2\)? (Assume that \(Z_1\) and \(Z_2\) share no descendants; the universe forks off in two completely different directions at that point.) (Solution.)
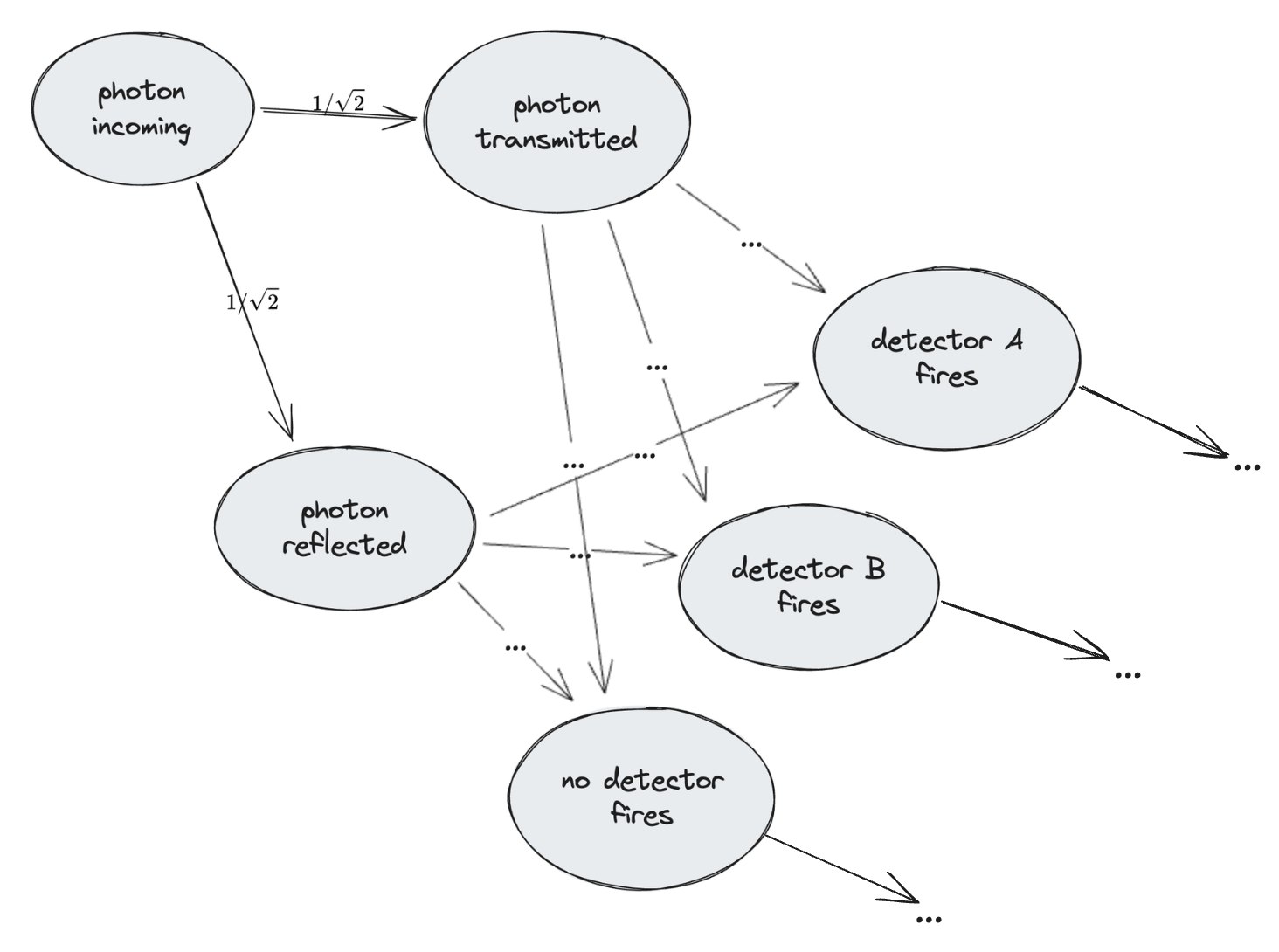
Exercise: if you're familiar with the QM intro literature: what experiment does this remind you of? (Hint: does it help if I suggestively rearrange the nodes in the graph like this? (Solution.)
???? (exercise)

Exercise: if at \(t=0\) we're in state \(A\), then at \(t=2\), what are the weights of the \(Z_k\)s? (Solution.)
Exercise: if you're familiar with the QM intro literature: what experiment does this remind you of? (Solution.)
Checkpoint
To sum up what we've talked about so far:
- You already have some intuition for what a "world-state" is, a concrete fully-specified way the world can be. The universe's actual state is, roughly, a linear combination of those.
- You already have some intuition for what a deterministic physics looks like, how each intuitive-world-state leads inevitably to a particular next intuitive-world-state. The universe's actual physics is a linear operator, allowing each intuitive-world-state to point to many other intuitive-world-states, with different weights.
- This physics is "unitary," i.e. it conserves the sum of the squares of the weights of the basis-states, which imposes some pretty strong constraints on how states can transition to each other.
- We can represent small simple systems with these little flow-chart-lookin' diagrams, and step through how they evolve over time.
- ...and, despite being small and simple, some of those systems exhibit behavior that looks a whole lot like classic quantum-mechanical thought-experiments. Because they are, correctly viewed, isomorphic.
This would be a reasonable place to stop reading. I'm about to shift gears and talk about...
The complications
If you wanted to bridge the gap between this toy version of QM and our universe's full gnarled beauty, what would it take to build that bridge?
Complex numbers
I've contrived for this post to only deal with real numbers; God isn't so kind. In the real world, these diagrams would sometimes have edge-weights like \(i/\sqrt{2}\), and, therefore, the basis-state-coefficients that make up a state would often be complex. For example, the last diagram above might instead have weights like...

(It might entertain you to plot out the squared-magnitude of the various \(Z_k\)s at \(t=2\). My plot, with n=1000. I think this rather strengthens the resemblance to the double-slit experiment!)
Linear-algebra-wise: where, before, you might have represented a state as a vector in \(\mathbb{R}^n\), and a unitary dynamics as a matrix in \(\mathbb{R}^{n \times n}\), now you'll need those to be \(\mathbb{C}^n\) and \(\mathbb{C}^{n \times n}\). No biggie.
Continuous time
I've been talking about systems with discrete time, where applying some unitary operator takes you forward one time-step. This... isn't how our universe works? Obviously? Our universe has continuous time: fundamental physics doesn't tell us (directly) how to compute "what a system will look like in one second," it tells us how to compute "the instantaneous rate of change of the system." It's possible to integrate that derivative to find out what a system will look like after some amount of time, but in general, integration is pretty gnarly.
In general, it's pretty gnarly -- but in our universe, it's actually (in some sense) delightfully straightforward! I think this is really cute; I can't help myself from going on a short tangent:
- In our universe, a system's time-derivative[5] is given by Schrödinger's equation: \(\partial x/ \partial t = \frac{-i}{\hbar} H x\) for some "Hermitian" H and fundamental constant \(\hbar\).
- If you have a system in some state \(x\), and you want to find its state after some "small" \(dt\), you might just approximate it with \(x + dt \cdot (\frac{-i}{\hbar}Hx)\).
- ...which you might rewrite \((1 + (\frac{-i}{\hbar} H) dt)x\).
- ...and after another teensy \(dt\)-step, its state is \((1 + (\frac{-i}{\hbar} H) dt)\) acting on that.
- ...or \((1 + (\frac{-i}{\hbar} H) dt)^2 x\).
- ...and after many teensy \(dt\)-steps, adding up to \(T\), its state is \((1 + (\frac{-i}{\hbar}H)dt)^{T/dt} ,x\).
- ...which you might notice looks a whole lot like we're trying to raise \(e\) to something. (Remember, \(e = \lim_{n \to \infty} (1 + 1/n)^n\).)
- So we might write "the system's state after time \(T\)" as
$$(e^{-iH/\hbar})^T ,x$$
- ...and, as it happens -- you can crank through some relatively simple linear algebra to prove it -- since \(H\) is Hermitian, \(e^{-iH/\hbar}\) is unitary.
It seems incredibly convenient that our universe's infinitesimal-time-step rules (Hermitian operators) integrate neatly into at-least-somewhat-intuitively understandable finite-time-step rules (unitary operators). It doesn't seem like it had to be that way.
This means that, if you're thinking about a photon interacting with a half-silvered mirror, for example, you don't always need to get into the nitty-gritty of integrating how the wave packet evolves over time; for some purposes at least, you can just doodle a state diagram like...

...and inspect your weights, verify that your transition matrix is unitary, and continue in nice, intuitive, integration-free finite-time-step-land.
Froofier vectors
I've been talking about systems with a small handful of basis-states, or, equivalently, a state-vector-space of small dimensionality. In real life, even the simplest physical systems typically have infinite-dimensional state spaces. (Example: a hydrogen atom can be in its ground state, or its 1st excited state, or its 2nd excited state, or its 3rd, or...)
If we wanted to talk about "a particle in a box" using the framework we've been using so far, we might, uh, think of the box as an \(n \times n \times n\) grid of "places the particle could be," and write down some unitary operator that encodes how the particle "travels" between cells in that grid, and take the limit as \(n \to \infty\). If we go down that path, we end up representing the particle's state not as "a list of \(n^3\) complex coefficients, one per cell in the grid, whose squared magnitudes add to 1," but as "a function mapping \(\mathbb{R}^3 \to \mathbb{C}\), whose squared magnitude integrates to 1."
(Quantum physics folk call these infinite-dimensional vector spaces "Hilbert spaces." As far as I'm aware, you can always just think of a Hilbert space as the limit of some finite-dimensional vector space as some-sort-of-granularity goes to infinity.)
Multiple things
It's natural to think of our universe as being made of pieces, individual things which can change independently of each other.
For the most part, you can represent composite systems by doing the obvious thing: if you have sub-systems A and B, then the composite system's basis-states are (A-basis-state, B-basis-state) pairs; if the sub-systems are completely isolated, then the composite system's dynamics are \(U((a,b)) = (U_A(a), U_B(b))\); if the sub-systems are coupled, then hopefully you can represent \(U\) as some slightly tweaked version of that.
But there's some non-obvious stuff here too:
- If you have one particle bouncing around in a box, you represent its state as a function \(f: \text{Posn} \to \mathbb{C}\) (whose squared magnitude, integrated over the box, is 1).
- If you have two particles bouncing around a box, then the obvious treatment gives us a composite basis of (Posn, Posn); so the state is some \(f: (\text{Posn}, \text{Posn}) \to \mathbb{C}\).
- But what if the two particles are indistinguishable? Then the basis-states (Here, There) and (There, Here) mean the same thing: one particle Here, one particle There. It wouldn't make sense for \(f\) to assign different values to those.
- (My understanding breaks down around here. Experienced quantumfolk often "symmetrize" \(f\), requiring it to be insensitive to argument ordering; but depending on the flavor of your indistinguishable particles, it's appropriate to antisymmetrize \(f\) instead, i.e. require \(f(a,b)=-f(b,a)\). This is beyond my ken.)
...and other stuff
Spinors, special relativity, quantum field theory, Lie algebras... I don't know what I don't know.
Takeaways
Desired end state:
- You are comfortable constructing and manipulating these flow-chart-lookin' diagrams to represent unitary systems.
- You see that, if you grudgingly accept some sort of mystical equivalence between "basis-state's coefficient's squared magnitude" and "probability of being in that state," some of these diagrams bear undeniable resemblance to real-world quantum phenomena.
- You have a rough sense of how you could, in theory, grow this into a useful model of reality (by introducing complex numbers, distilling our discrete-time unitary operators down into their "underlying" continuous-time Hermitian operators, more mathematical tricks, and, uh, obviously, various universe-specific stuff like "knowing what an electron is").
Related reading
- Yudkowsky's quantum physics sequence strongly informed my perspective on "state as amplitude distribution over configurations," and is less aggressively minimal.
- As mentioned above: Introduction to abstract entropy and Generalized Heat Engine take entropy in a similar minimalist direction.
- Leonard Susskind's "Quantum Mechanics: the Theoretical Minimum" gets much more into the math, aiming to get you to the point where you can take simple quantum systems from our universe, translate them into math, and manipulate that math. (It didn't really hit for me.)
I say "the universe's basis states" like there's some privileged basis, but there isn't. As usual when you're doing stuff with vector spaces, there's nothing physically special about any particular basis; they just vary in how well they match your intuition and how easy they make the math. (Also as usual, unfortunately, there's often a tradeoff there.) ↩︎
Okay, in real life all these vectors are over (\mathbb{C}) instead of the reals, and the important thing is the squared magnitudes, not the squares; but it turns out that's one of the quirks of our universe we can leave behind and still get interesting quantum-flavored stuff to happen! ↩︎
In infinite-dimensional vector spaces, "sum-squared-magnitude-conserving" and "unitary" might not be exactly the same? The dynamics (A \overset{1}\to B \overset{1}\to C \overset{1}\to \cdots) is obviously sum-squared-magnitude-conserving; is it unitary? I don't think so, because it's not invertible ((A) has no predecessor). I think this distinction is angels-dancing-on-a-pin for current purposes.(Edit: if it helps, I think you can imagine this infinite pattern of states preceding (A):Now the transition function is invertible even for (A).) ↩︎
Well, okay, in our universe the time-evolution-operator's eigenstates are intimately tied to "energy." But in these toy systems, there's nothing deeply meaningful about them. ↩︎
Neglecting special relativity, which I don't understand. ↩︎